Product Property Of Square Roots
Awasome Product Property Of Square Roots Ideas. That is, the square root of the product is the same as the product of the square roots. Step 6 shows that x ≥ 0.

Inputs for the radicand x can be positive or negative real numbers. How to simplify a product of square roots using the distributive property vocabulary. Use this calculator to find the principal square root and roots of real numbers.
This Is A Very Simple Tool For Square Root Property Calculator.
(product) notation induction logical sets word problems. List of ebooks and manuels about kuta software product property of square roots. Let us see some examples to.
Enter The Complete Equation/Value In The Input Box I.e.
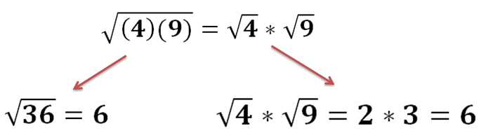
Add your answer and earn points. Let',s look at simplifying √18√2. Product property of square roots for any two numbers a and b, where both are greater than or equal to 0, the square root of a product is equal to the product of each square root.
The Expression √17 + √7 17 + 7 Cannot Be Simplified—To Begin We’d Need To.
Quotient property of square roots for all positive real numbers a and b , b ≠ 0 : The square root of the product of two numbers is the product of two square roots of the previously mentioned numbers, that is to say: If two numbers are in division with.
It Is A Number That Is.
The product property of square roots states that the product of square roots is equal to the square root of the product. This property lets you take a square root of a product of numbers and break up the radical into the. X ⋅ y = x ⋅ y.
Follow The Given Process To Use This Tool.
Product property of radical states that the square root of the product of numbers is equal to the product of square roots of each of the numbers. That is, the square root of the product is the same as the product of the square roots. 2.1 solve equations using the subtraction and addition properties of equality,
Post a Comment for "Product Property Of Square Roots"